简体版| 繁体版
无障碍
当前位置:首页 > 政务公开 > 政府信息公开 > 法定主动公开内容 > 规划管理 > 规划公布 > 规划总平图批后公布

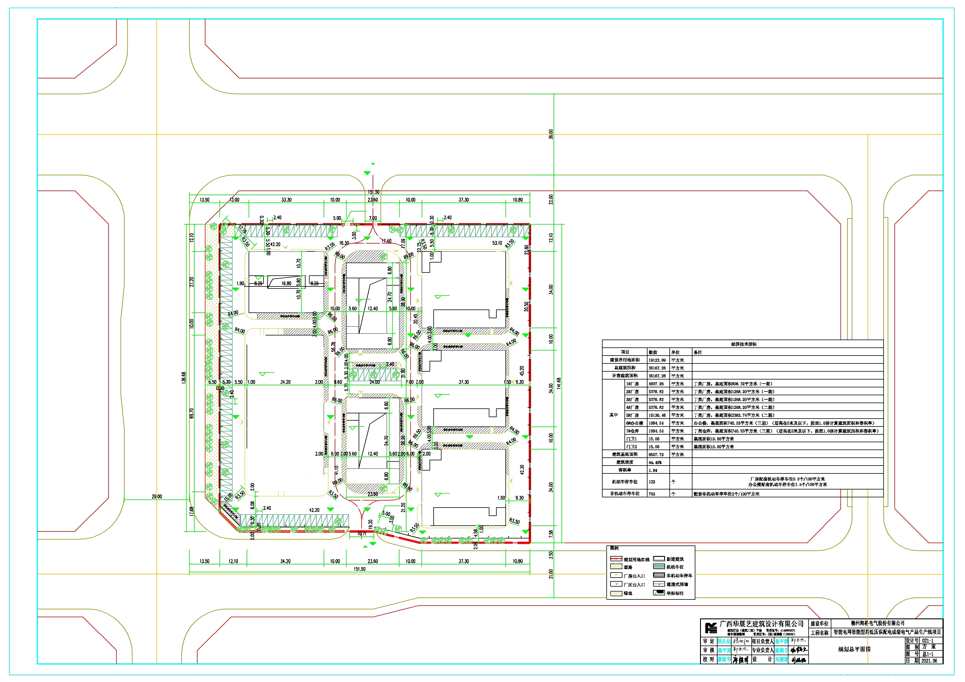
“柳州海格电气股份有限公司智能电网智能型高低压供配电成套电气产品生产线项目”规划总平(2021-252#)已经我局批准

2021-08-05 11:20     来源:柳州市自然资源和规划局
收藏 我要收藏 公共资源调用站点 文章分享
分享 微信
头条
微博 空间 qq
【字体: 打印

“柳州海格电气股份有限公司智能电网智能型高低压供配电成套电气产品生产线项目”

规划总平(2021-252#)已于2021年7月27日经我局批准

(柳州海格电气股份有限公司  西鹅路以东石烂路南侧A地块)


关联文件: