简体版| 繁体版
无障碍
当前位置:首页 > 政务公开 > 政府信息公开 > 法定主动公开内容 > 规划管理 > 规划公布 > 规划总平图批后公布

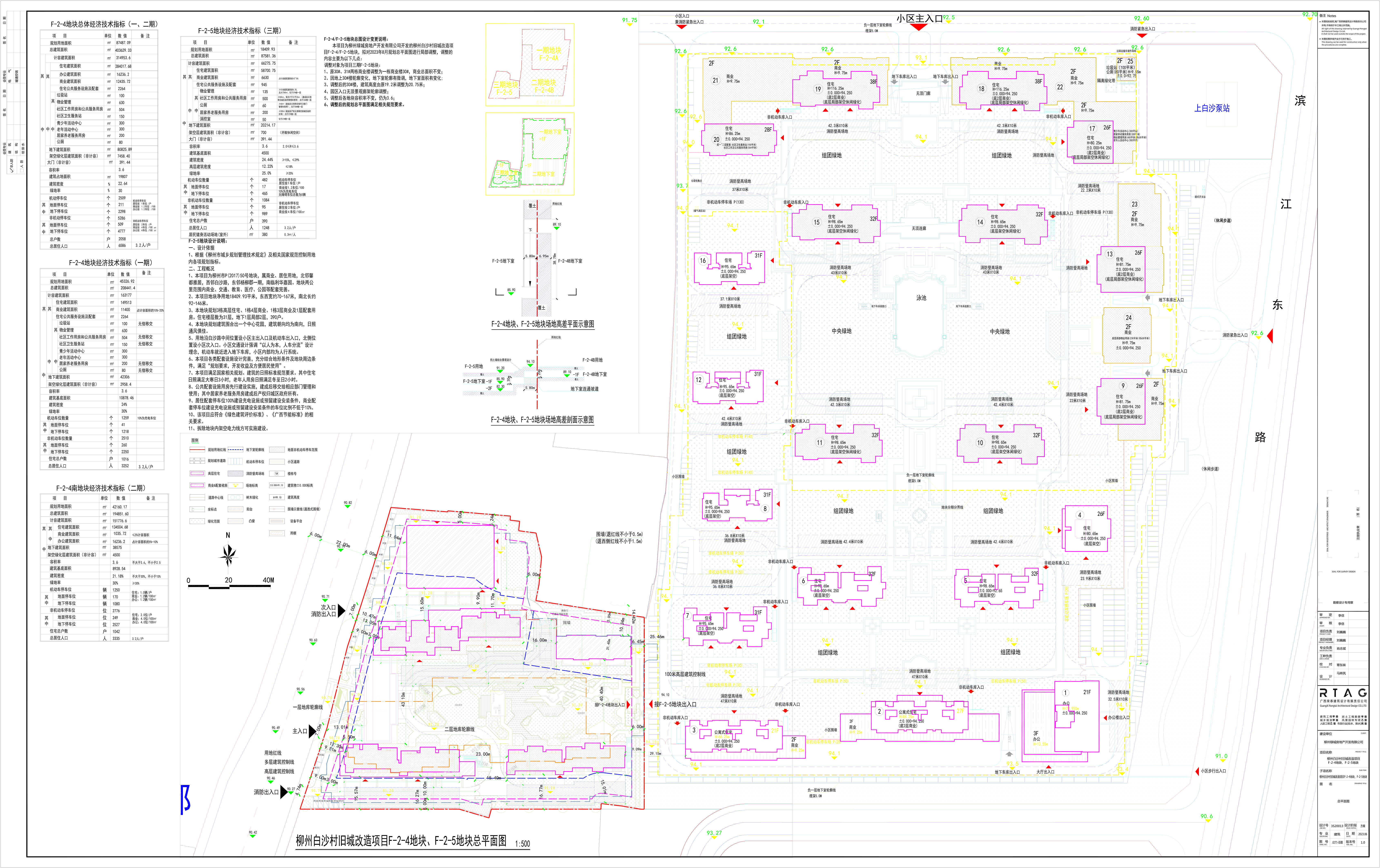
“柳州白沙村旧城改造项目F-2-5地块”规划总平调整(2025-239#)已经我局批准

2025-08-29 08:05     来源:柳州市自然资源和规划局
收藏 我要收藏 公共资源调用站点 文章分享
分享 微信
头条
微博 空间 qq
【字体: 打印

柳州白沙村旧城改造项目F-2-5地块规划总平调整2025-239#
已于
2025年8月21日经我局批准
柳州绿城房地产开发有限公司  柳州白沙村旧城改造项目F-2-5地块

关联文件: