简体版| 繁体版
无障碍
当前位置:首页 > 政务公开 > 政府信息公开 > 法定主动公开内容 > 规划管理 > 规划公布 > 规划总平图批后公布

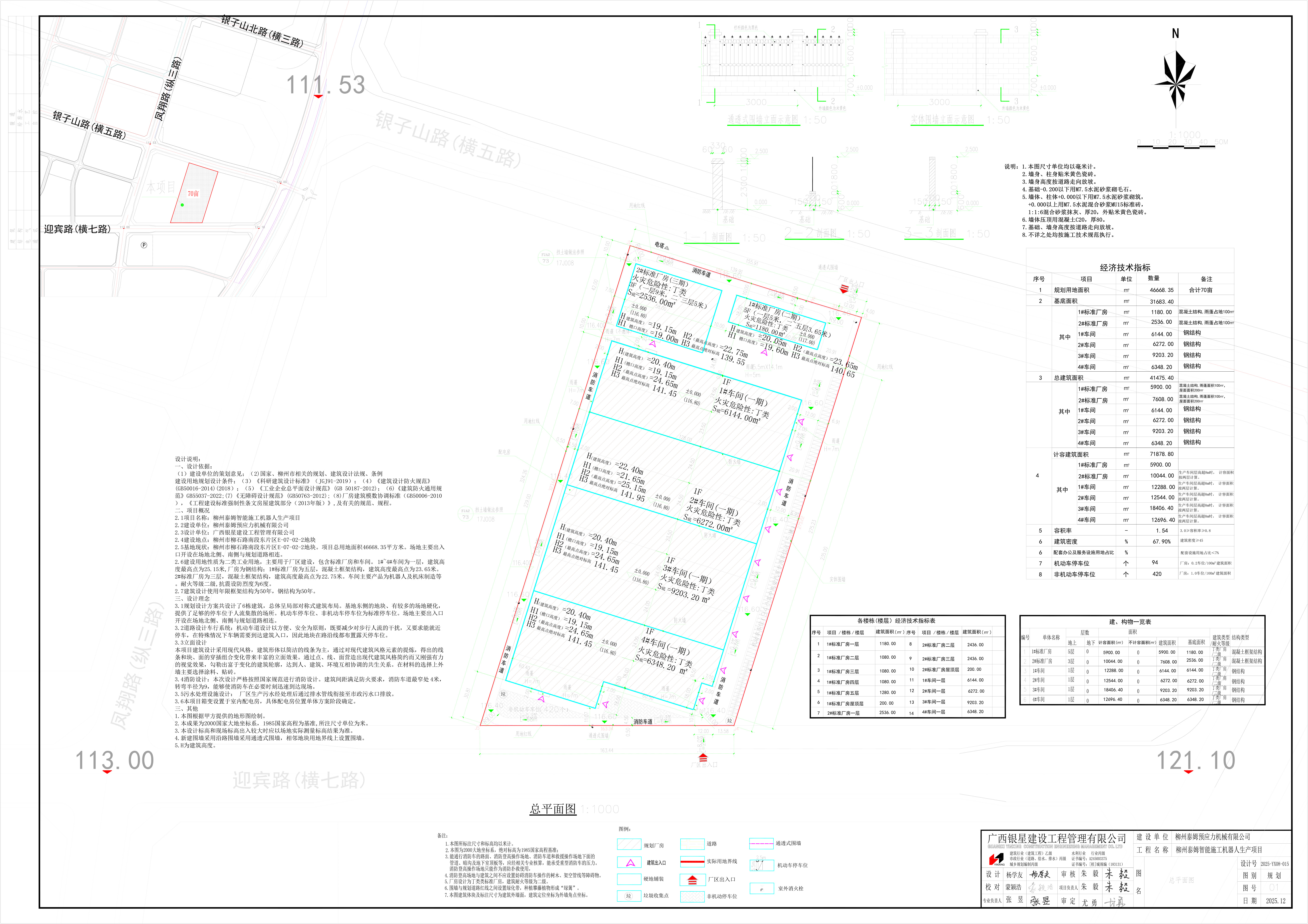
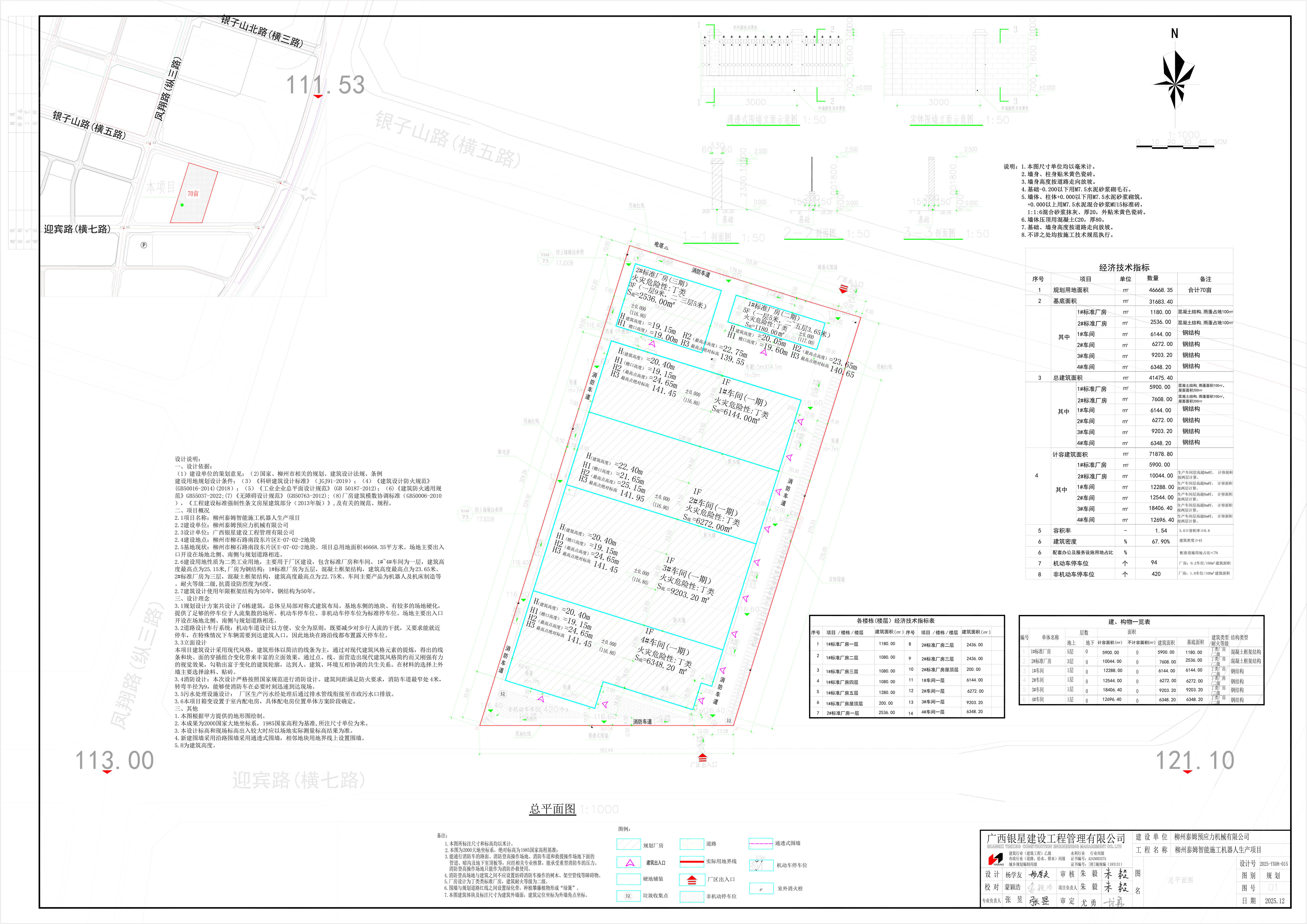
“柳州泰姆智能施工机器人生产项目”规划总平调整(2025-318#)已经批准

2025-12-26 08:25     来源:柳州市自然资源和规划局
收藏 我要收藏 公共资源调用站点 文章分享
分享 微信
头条
微博 空间 qq
【字体: 打印

柳州泰姆智能施工机器人生产项目规划总平调整2025-318#
已于
2025年12月25日经批准
柳州泰姆预应力机械有限公司  柳州市柳石路南段东片区E-07-02-2地块

关联文件: